Logo AVEPA

Clínica Veterinaria de Pequeños Animales

Revista oficial de AVEPA

  • Inicio
  • Último número
  • Archivo
  • Artículos
  • Para autores
  • Contacto
Cursos Junio-Septiembre 2026
ANUNCIO

Clínica Veterinaria de Pequeños Animales

Revista oficial de AVEPA

  • Inicio
  • Último número
  • Archivo
  • Artículos
  • Para autores
  • Contacto
Curso Oftalmología 2026
ANUNCIO
Clin Vet Peq Anim Vol. 41 • Nº 4 • diciembre 2021

Valoración de la fiabilidad clínica de un sistema inalámbrico de monitorización multiparamétrica en perros

Evaluation of the clinical reliability of a wireless multiparametric monitoring system in dogs

Artículo original referido a múltiples casos clínicos

J. Talavera

Departamento de Medicina y Cirugía Animal. Servicio de Cardiorrespiratorio del Hospital Veterinario de la Universidad de Murcia (HVUM). Campus de Espinardo. 30100 Murcia.

M. Escobar

Servicio de Anestesia del Hospital Veterinario de la Universidad de Murcia (HVUM). Campus de Espinardo. 30100 Murcia. Dirección actual: Fénix Hospital Veterinario. c/ José Luis Navarro Campello 1. 03202 Elche.

M. Cascales

Servicio de Anestesia del Hospital Veterinario de la Universidad de Murcia (HVUM). Campus de Espinardo. 30100 Murcia. Dirección actual: Fénix Hospital Veterinario. c/ José Luis Navarro Campello 1. 03202 Elche.

Contacto: talavera@um.es
Palabras clave: telesalud, telemedicina, telemonitorización, inalámbrico.
Keywords: telehealth, telemedicine, telemonitorization, wireless.

Clin Vet Peq Anim 2021, 41 (4): 231-240

Descargar artículo

Resumen

La telemonitorización es una variante de la telesalud basada en usar dispositivos inalámbricos que aportan información de parámetros relacionados con la salud, permitiendo la monitorización constante de pacientes conscientes, sin necesidad de cables. El objetivo del presente estudio era valorar la fiabilidad de un sistema de monitorización inalámbrica multiparamétrico en comparación con sistemas estándar de medición de electrocardiograma, frecuencia cardiaca, frecuencia respiratoria y temperatura. Se incluyeron 18 perros sanos anestesiados para procedimientos menores (castración, limpieza de boca) cuyas constantes vitales (trazado electrocardiográfico, frecuencia cardiaca, frecuencia respiratoria y temperatura) fueron monitorizadas simultáneamente de forma seriada por un sistema inalámbrico de monitorización y equipos de medición tradicionales considerados gold standard. Se obtuvieron trazados electrocardiográficos de buena calidad comparable entre ambos métodos (inalámbrico y papel) que permitían evaluar en tiempo real el ritmo sinusal y diversas alteraciones del mismo. Las medidas de duración y voltaje variaron significativamente entre métodos. Los valores de frecuencia cardiaca, respiratoria y temperatura entre el dispositivo inalámbrico y los monitores estándar no mostraron diferencias significativas, con valores excelentes de correlación intraclase (p<0,001). La sensibilidad del contraste fue de 4,9 latidos por minuto para la FC, 2,6 respiraciones por minuto para la FR y 0,16 ºC para la temperatura. Se concluye que el sistema de monitorización inalámbrica evaluado proporciona datos de calidad adecuada y suficiente para un uso clínico en las condiciones descritas en este estudio.

Abstract

Telemonitoring is a variant of telehealth that is based on the use of wireless devices that provide information on health-related parameters. Wireless technology opens the door to the application of constant multiparametric monitoring in conscious patients, exceeding the limit associated with the need for wires inherent in current monitors. The objective of this study was to assess the efficacy of a multiparametric wireless monitoring system in comparison with standard electrocardiogram, heart rate, respiratory rate and temperature measurement systems. Eighteen healthy dogs anesthetized for minor procedures (castration and dental cleaning) were included. Vital signs (electrocardiographic tracing, heart rate, respiratory rate and temperature) were monitored simultaneously by a wireless monitoring system and traditional gold standard measuring equipment. Electrocardiographic tracings of good quality comparable between both methods (wireless and paper) were obtained, which allowed real-time evaluation of sinus rhythm and its several alterations. Duration and voltage measurements varied significantly. The heart rate, respiratory rate and temperature values between methods did not show significant differences, with excellent intraclass correlation values (P <0.001). The contrast sensitivity was 4.9 beats per minute, 2.6 breaths per minute and 0.16 ºC. It is concluded that the evaluated wireless monitoring system provides data of adequate quality for clinical use under these study conditions.

AVEPA Elearning

La presencia de este logo en un artículo de la revista indica que se publicará un examen sobre el mismo en la plataforma AVEPA Elearning. Su resolución aporta 0,15 créditos dentro del sistema de acreditaciones de especialidades veterinarias de AVEPA.

Introducción

La Asociación Americana de Medicina Veterinaria (American Veterinary Medical Association, AVMA) define la telesalud como un término amplio que implica el uso de la tecnología para aportar información para el cuidado, la educación y la atención sanitaria de forma remota. Dentro del paraguas de este término distingue varias subcategorías: telemedicina, teletriaje, teleavisos, teleconsulta, telecomunicación, telesupervisión, telemonitorización y prescripción electrónica.[ American Journal of Veterinary Medical Association. AVMA guidelines for the use of telehealth in veterinary practice: Implementing connected care. American Veterinary Medical Association, Schaumburg, IL. 2021. ISBN [978-1-882691-55-5]. https://www.avma.org/sites/default/files/2021-01/AVMA-Veterinary-Telehealth-Guidelines.pdf. Último acceso: 16/08/2021. ] Según esta clasificación, la telemonitorización surge como una disciplina médica en la que diversos aspectos de la salud de los pacientes pueden ser monitorizados a distancia. Esta disciplina se nutre de la existencia de dispositivos dirigidos especialmente a la recopilación y transmisión de datos médicos, como pueden ser monitores de glucemia, de temperatura, frecuencia cardiaca, etc. La información aportada puede entonces servir de base para la práctica de otras disciplinas que se integran en el concepto AVMA de telesalud, tales como la disponibilidad de avisos que permitan prevenir situaciones de riesgo (teleavisos y teletriaje) que podrían gestionarse mediante telecomunicación y/o teleconsulta, o la posibilidad de mantener una telemonitorización en determinados contextos de riesgo de enfermedad o complicaciones de la misma. Mediante la integración analítica de múltiples datos y el desarrollo y aplicación de algoritmos, puede identificarse precozmente y/o contribuir a la vigilancia digital de enfermedades.[ Hay SI, George DB, Moyes CL, Brownstein JS. Big data opportunities for global infectious disease surveillance. PLoS Med 2013; 10(4): e1001413. [PubMed] , den Uijl I, Gómez Álvarez CB, Bartram D, et al. External validation of a collar-mounted triaxial accelerometer for second-by-second monitoring of eight behavioural states in dogs. PLoS ONE 2017; 12(11): e0188481. [PubMed] , Gillain S, Boutaayamou M, Dardenne N, et al. Data set of healthy old people assessed for three walking conditions using accelerometric and opto-electronic methods. Aging Clin Exp Res 2017; 29(6): 1201-1209. [PubMed] , Watson, K., Wells, J., Sharma, M. et al. A survey of knowledge and use of telehealth among veterinarians. BMC Vet Res 2019;15: 474. [PubMed] ]

La disponibilidad de dispositivos adecuados para su uso en telemedicina requiere avances en conectividad y tecnología digital cuyo desarrollo en medicina veterinaria está aumentando rápidamente.[ Hay SI, George DB, Moyes CL, Brownstein JS. Big data opportunities for global infectious disease surveillance. PLoS Med 2013; 10(4): e1001413. [PubMed] , den Uijl I, Gómez Álvarez CB, Bartram D, et al. External validation of a collar-mounted triaxial accelerometer for second-by-second monitoring of eight behavioural states in dogs. PLoS ONE 2017; 12(11): e0188481. [PubMed] , Hess L. Telemedicine: The Future of Veterinary Practice. J Avian Med Surg 2017; 31(2): 165-171. [PubMed] ] Los acelerómetros se han utilizado en humanos para el análisis de la marcha, así como el estudio de los ritmos circadianos, la predicción de eventos adversos para la salud y el gasto de energía.[ Gillain S, Boutaayamou M, Dardenne N, et al. Data set of healthy old people assessed for three walking conditions using accelerometric and opto-electronic methods. Aging Clin Exp Res 2017; 29(6): 1201-1209. [PubMed] ] Se han utilizado en caballos durante décadas para detectar y controlar la cojera, para el estudio de los patrones de descanso y en animales salvajes para rastrear el comportamiento.[ DuBois C, Zakrajsek E, Haley DB, Merkies K. Validation of triaxial accelerometers to measure the lying behaviour of adult domestic horses. Animal 2015; 9(1): 110-114. [PubMed] , Keegan KG, Wilson DA, Kramer J, et al. Comparison of a body-mounted inertial sensor system–based method with subjective evaluation for detection of lameness in horses. Am J Vet Res 2012; 74(1): 17-24. [PubMed] ] En perros, los acelerómetros se han utilizado para controlar la cantidad de actividad, los tipos de actividad, la disfunción cognitiva y la detección de cojera.[ den Uijl I, Gómez Álvarez CB, Bartram D, et al. External validation of a collar-mounted triaxial accelerometer for second-by-second monitoring of eight behavioural states in dogs. PLoS ONE 2017; 12(11): e0188481. [PubMed] , Hansen BD, Lascelles BDX, Keene BW, Adams AK, Thomson AE. Evaluation of an accelerometer for at-home monitoring of spontaneous activity in dogs. Am J Vet Res 2007; 68(5): 468-475. [PubMed] , Bruno EA, Guthrie JW, Ellwood SA, Mellanby RJ, Clements DN. Global Positioning System Derived Performance Measures Are Responsive Indicators of Physical Activity, Disease and the Success of Clinical Treatments in Domestic Dogs. PLOS ONE 2015; 10(2): e0117094. [PubMed] ] Se han validado también diferentes dispositivos portátiles de lectura de electrocardiograma en varias especies animales.[ Kraus MS, Gelzer AR, Rishniw M. Detection of heart rate and rhythm with a smartphone-based electrocardiograph versus a reference standard electrocardiograph in dogs and cats. J Am Vet Med Assoc 2016; 249(2): 189-194. [PubMed] , Bonelli F, Vezzosi T, Meylan M, et al. Comparison of smartphone-based and standard base-apex electrocardiography in healthy dairy cows. J Vet Intern Med 2019 ; 33(2): 981-986. [PubMed] ] Sin embargo, son escasas las referencias en la literatura al uso de dispositivos multiparamétricos que combinen el uso de acelerómetros y la recogida de datos de constantes vitales. El potencial médico-científico de estos dispositivos es enorme y su desarrollo y validación lleva asociado un carácter disruptor y altamente innovador.

El desarrollo de la tecnología apropiada para la confección de este tipo de dispositivos ha de realizarse en paralelo a la evaluación apropiada de la validez de los datos obtenidos, ya que la potencial utilidad de dichos dispositivos se basa en la precisión de la información aportada. El objetivo del presente estudio fue determinar la fiabilidad de las medidas de temperatura, frecuencia cardiaca y respiratoria y calidad de gráficas y medidas electrocardiográficas aportadas por un dispositivo comercial multiparamétrico diseñado para su utilización en telemonitorización.

Materiales y métodos

Animales

El estudio se ha realizado con una muestra de 18 perros, en todos los cuales se completó el protocolo de estudio previsto y se obtuvieron registros válidos para el análisis. En todos los casos se trataba de pacientes voluntarios provenientes de propietarios particulares del Hospital Veterinario de la Universidad de Murcia que fueron convenientemente informados. Los candidatos empleados eran perros sanos sometidos a anestesia para la realización de procedimientos electivos menores, principalmente castración o limpieza de boca. Debido a que los arneses invaden parte del abdomen, se seleccionaron principalmente candidatos macho (castración), siendo el sexo irrelevante cuando se trataba de procedimientos no abdominales. 

Equipos

Se han utilizado los siguientes equipos para el estudio:

- Dispositivo multiparamétrico de monitorización inalámbrica (Dinbeat UNO®, Dindog Tech, Barcelona). Consta de arneses de tela de varias tallas preparados para albergar los electrodos (3), el sensor de temperatura y el monitor de bolsillo inalámbrico (UNO). El monitor de bolsillo inalámbrico se enlaza mediante bluetooth con un procesador en red (HUB) que recibe los datos y los envía en tiempo real al servidor web (Fig. 1A).

- Monitor multiparamétrico (Cardiocap II, Datex Ohmeda, Madrid) como monitor gold standard de referencia para medidas de frecuencia cardiaca (FC), electrocardiograma (ECG) y temperatura (Tª).

- Monitor respiratorio (RGM 5250, Datex Ohmeda, Madrid) como monitor gold standard de referencia para frecuencia respiratoria (FR).

- Electrocardiógrafo digital de 12 canales (AR1200 VIEW BT, Cardioline, Cavareno) y papel termosensible milimetrado específico.

- Termómetro rectal (Datex Ohmeda; Madrid).

Métodos

Todos los procedimientos con los animales contaron con las autorizaciones pertinentes del Comité de Ética de Experimentación Animal de la Universidad de Murcia (código 282/2016) y del Órgano Habilitado de la Comunidad Autónoma de Murcia (código de identificación: A13170803).

El procedimiento para la toma de datos era el siguiente:

- Los/as propietarios/as de los animales candidatos eran informados del estudio y, si aceptaban participar, firmaban el correspondiente consentimiento informado.

- Los animales eran premedicados y la anestesia inducida de acuerdo al protocolo clínico indicado en cada caso y bajo la responsabilidad del personal del Servicio de Anestesia.

- Tras la inducción anestésica del paciente y antes de su entrada en quirófano se colocaba el arnés. Se procedía a dar de alta al paciente en la interfaz web, se comprobaba la correcta colocación y lectura de los sensores y se iniciaba la grabación de datos. Se comprobaba igualmente la sincronización horaria entre el arnés y el operador responsable del registro de los datos.

- Realización del ECG en papel: se obtenía un ECG de 6 derivaciones estándar de los miembros que incluía al menos 15 segundos de cada derivación. Dicho registro se obtenía una vez colocado el arnés justo antes de la entrada del paciente a quirófano. Se anotaba la fecha y hora exacta de inicio de cada registro, así como los datos identificativos del paciente.

- Obtención de valores de FC, FR y temperatura corporal: Al principio del estudio se procedió al calibrado técnico de los monitores anestésicos que se usaron en el estudio. Durante el tiempo de anestesia se tomaban medidas de los tres parámetros cada 5 minutos, anotando valor y hora exacta de recogida, así como cualquier evento que se considerase de interés (cambio de posición del paciente, momento clave del procedimiento, administración de fármacos, evento fisiológico u otros). Los valores en los mismos puntos de control horario correspondientes del sistema de monitorización inalámbrica se obtuvieron extrayendo offline los archivos de las sesiones de los pacientes en formato .xls, proporcionados por la interfaz web del sistema.

- Interpretación de los registros electrocardiográficos: Se realizó un estudio del ritmo cardiaco basado en la relación entre las ondas P y el QRS, la regularidad de la distancia entre complejos QRS y su morfología. Se realizó una medición de las ondas y los intervalos de cada ECG en papel mediante método manual con regla milimetrada, y del correspondiente registro del dispositivo multiparamétrico inalámbrico mediante el cáliper que incluye la aplicación web (duración) y de manera visual usando el fondo milimetrado (voltaje). En todos los casos las mediciones y evaluación de calidad se realizaron en los registros sincronizados (obtenidos por ambos métodos en el mismo punto de control horario). La calidad de los registros tomados con cada tecnología se clasificó de acuerdo a la siguiente escala:

- 5. Muy buena: El trazado presenta un reducido/nulo número de artefactos, la línea de base no presenta interferencias y las ondas son identificables con claridad. Su lectura es posible durante todo el registro.

- 4. Buena: El trazado presenta un mayor número de artefactos, la línea base puede contener interferencias durante un período del trazado, las ondas son identificables con claridad. Su lectura es posible durante todo el trazado

- 3. Aceptable: El trazado presenta abundantes artefactos y la línea base interferencias, lo que dificulta la lectura del registro aunque las ondas son razonablemente reconocibles en más de un periodo. Su lectura no es posible durante todo el trazado.

- 2. Mala: El trazado presenta gran número de artefactos y la línea base interferencias, lo que dificulta o impide la lectura del registro durante un período del mismo. Solo son interpretables ondas o complejos aislados, pero pueden obtenerse medidas.

- 1. No aceptable: El registro no es susceptible de lectura.

Análisis estadístico

Para el análisis estadístico, los datos recogidos fueron trasladados a hojas de cálculo creadas ad hoc en las que se incluían todas las variables de interés. Los valores de FC, FR y Tª de los monitores de referencia eran anotados manualmente en hojas físicas y luego trasladados a las hojas de cálculo. Los valores equivalentes procedentes del dispositivo de monitorización inalámbrica se obtenían de las hojas de cálculo correspondientes a partir de las sesiones web, obteniendo la media de los valores aportados correspondientes al minuto en el que se anotaron las medidas manuales. Los valores de calidad de los registros, voltaje y duración de ondas e intervalos se registraron en una hoja de cálculo diferente y se analizaron independientemente. Se obtuvieron valores medios y estadísticos de dispersión y variabilidad de las diferentes sesiones para ambas metodologías (dispositivo inalámbrico y métodos gold standard). A partir de las medias obtenidas a diferentes tiempos, o bien de los valores individuales, se realizaron test de comparación tanto paramétricos como no paramétricos en función de la distribución de los datos tras los test de normalidad (Shapiro-Wilk y Kolmogorov-Smirnov). Para las comparaciones entre los dos métodos, para los valores de FC, FR y Tª, se realizaron estudios de correlación (Spearman y Pearson, según correspondiera). Las diferencias entre ambos métodos se analizaron mediante tests de medidas repetidas (T de Student o de Wilcoxon, según correspondiera). La concordancia se analizó mediante el cálculo del coeficiente de correlación intraclase considerando la escala de interpretación: < 0,40: Pobre; 0,40-0,59: Suficiente; 0,60-0,74: Bueno; 0,75-1: Excelente. El efecto del factor intrasujeto “perro” y del factor intersujeto “punto de control” se analizó mediante ANOVA de medidas repetidas usando un modelo lineal generalizado (GLM). Finalmente, se obtuvieron gráficos de dispersión con cálculo de ecuaciones y coeficientes de regresión y gráficos de Bland-Altman para evaluar el grado de acuerdo. Para la generación de las matrices de datos se empleó Microsoft Excel y para el análisis estadístico se empleó el paquete SPSS 24.0. Los resultados se consideraron estadísticamente significativos si el valor de p era inferior a 0,05. Los cálculos de potencia de contraste se realizaron a partir de la interfaz web GRANMO (https://www.imim.es/ofertadeserveis/software-public/granmo/).

Resultados

Protocolo técnico

El dispositivo implica la utilización de una serie de arneses de varias tallas, así como elementos de tela para adaptar los arneses a perros con tamaños entre 2 tallas (Fig. 1A). Estos arneses se colocan fácilmente y quedan bien adaptados, con o sin ayuda de los adaptadores. Los bolsillos con los electrodos son escamoteables (Fig. 1B), lo que facilita la depilación de la zona concreta donde se coloca el electrodo adhesivo. Ocasionalmente, la rigidez del arnés facilitó el plegado de los electrodos y consiguiente reducción/pérdida de contacto, por lo que es conveniente que el arnés se encuentre bien adaptado al paciente, así como procurar el empleo de electrodos adhesivos de buena calidad y correctamente colocados sobre la piel depilada. Una vez colocado el sistema, la conexión entre el módulo de bolsillo y el receptor de red (HUB) se produce de manera rápida y estable, si bien fueron necesarias varias actualizaciones e intervenciones técnicas para depurar errores al principio del estudio. El protocolo de alta de paciente en la interfaz web e inicio de monitorización es sencillo y rápido.

<p> (<strong>A</strong>) Componentes del equipo de monitorización multiparamétrica inalámbrica empleada en el estudio: arnés y extensor (1), receptor de bolsillo (2), sensor de temperatura (3), electrodos adhesivos (4), electrodos de botón (5). (<strong>B</strong>) Dispositivo colocado en un perro. Nótese la zona depilada justo en la ventana del electrodo escamoteable y el electrodo adhesivo colocado listo para acoplarse.</p>
Figura 1

 (A) Componentes del equipo de monitorización multiparamétrica inalámbrica empleada en el estudio: arnés y extensor (1), receptor de bolsillo (2), sensor de temperatura (3), electrodos adhesivos (4), electrodos de botón (5). (B) Dispositivo colocado en un perro. Nótese la zona depilada justo en la ventana del electrodo escamoteable y el electrodo adhesivo colocado listo para acoplarse.

Morfología del ECG

Una vez se establece la conexión entre el monitor de bolsillo y el receptor web, la plataforma web muestra una gráfica de ECG de buena calidad (Fig. 2A) y que, en general, se asemeja en forma y aspecto a una derivación II (onda P y deflexión principal del QRS positiva). En estos casos, las ondas son perfectamente distinguibles y medibles, pudiendo detectarse con facilidad y fiabilidad alteraciones como la presencia de arritmia sinusal (Fig. 2B) o bloqueo atrioventricular (Fig. 3). Sin embargo, la señal es sensible al movimiento y al mal contacto electrodos-piel, exhibiendo en estos casos diversos tipos de artefactos hasta la pérdida de señal legible (Fig. 4). Respecto a la calidad de los registros, la distribución de categorías de calidad fue homogénea entre ambos métodos. El 88 % de los registros de papel y el 65 % de los del dispositivo en estudio presentaban calidad 5. La porción del ECG que más a menudo difiere en apariencia del ECG en papel (derivación II) es la onda T (Fig. 5).

<p>Trazados electrocardiográficos del mismo perro obtenidos mediante electrocardiógrafo de referencia en papel (<strong>A</strong>; 10 mm/mV, 50 mm/s) y de su correspondiente registro Dinbeat (<strong>B</strong>; 10 mm/mV, 25 mm/s). La morfología del trazado Dinbeat es análoga a la derivación II del registro en papel (centro). En ambos casos se muestran ejemplos de registros de buena calidad (calidad 5) y se evidencia la presencia de arritmia sinusal.</p>
Figura 2

Trazados electrocardiográficos del mismo perro obtenidos mediante electrocardiógrafo de referencia en papel (A; 10 mm/mV, 50 mm/s) y de su correspondiente registro Dinbeat (B; 10 mm/mV, 25 mm/s). La morfología del trazado Dinbeat es análoga a la derivación II del registro en papel (centro). En ambos casos se muestran ejemplos de registros de buena calidad (calidad 5) y se evidencia la presencia de arritmia sinusal.

<p>Trazado electrocardiográfico Dinbeat mostrando un bloqueo atrioventricular de 2º grado (onda P no seguida de QRS). 10 mm/mV, 25 mm/s.</p>
Figura 3

Trazado electrocardiográfico Dinbeat mostrando un bloqueo atrioventricular de 2º grado (onda P no seguida de QRS). 10 mm/mV, 25 mm/s.

<p>Registros electrocardiográficos Dinbeat mostrando diversos grados de alteraciones que determinan su clasificación como calidad 4 (<strong>A</strong>), 3 (<strong>B</strong>), 2 (C) y 1 (D). 10 mm/mV, 25 mm/s.</p>
Figura 4

Registros electrocardiográficos Dinbeat mostrando diversos grados de alteraciones que determinan su clasificación como calidad 4 (A), 3 (B), 2 (C) y 1 (D). 10 mm/mV, 25 mm/s.

<p>Registros electrocardiográficos en papel del mismo perro. (<strong>A</strong>) DII, 10 mm/mv, 50 mm/s. (<strong>B</strong>) Dinbeat, 10 mm/mV, 25 mm/s. Nótese como la onda T aparece exageradamente negativa en el registro Dinbeat.</p>
Figura 5

Registros electrocardiográficos en papel del mismo perro. (A) DII, 10 mm/mv, 50 mm/s. (B) Dinbeat, 10 mm/mV, 25 mm/s. Nótese como la onda T aparece exageradamente negativa en el registro Dinbeat.

Valores de ondas e intervalos electrocardiográficos

Respecto a la duración de ondas e intervalos electrocardiográficos (Tabla 1), las medidas obtenidas a partir de los registros del equipo de monitorización inalámbrica resultaron significativamente más altas para la duración de la onda P, siendo no significativa la correlación entre ambos sistemas para la duración de la P. Las diferencias de duración para el resto de ondas e intervalos entre ambos métodos no fueron significativas. El coeficiente de correlación intraclase resultó pobre para la duración del QRS, pero excelente para el intervalo PQ y QT.

<p>DE: desviación estándar.</p>
Tabla 1

DE: desviación estándar.

En relación al voltaje de ondas electrocardiográficas (Tabla 2), las diferencias entre las medidas obtenidas a partir de los registros del dispositivo de monitorización inalámbrica fueron significativamente más bajas para el voltaje de Q, R y T. Para ninguna de las ondas la correlación ente los voltajes obtenidos del ECG en papel y con el dispositivo de monitorización inalámbrica fue significativa. Los coeficientes de correlación intraclase fueron bajos para todas las comparaciones.

<p>DE: desviación estándar.</p>
Tabla 2

DE: desviación estándar.

Valores de FC, FR y Tª

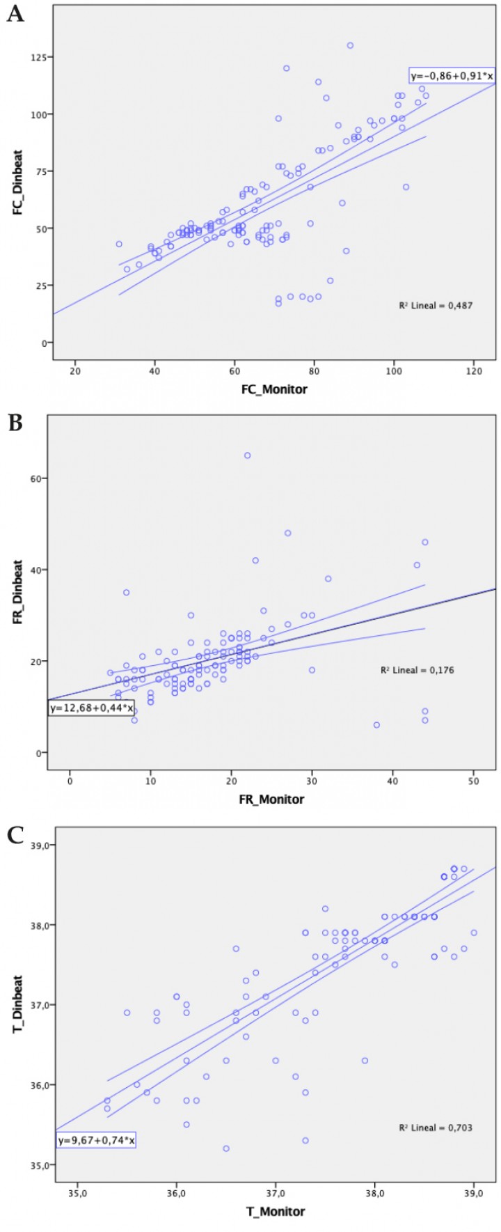
Los resultados de la comparación fueron de muy buenos a excelentes, denotando un alto grado de acuerdo entre los dos métodos para la estimación de los 3 parámetros (Tabla 3). Así, no se obtuvieron diferencias significativas entre métodos para ninguna de las 3 variables, las correlaciones entre las medidas de ambos métodos fueron significativas y los coeficientes de correlación intraclase fueron de bueno (FR) a excelente (FC, Tª) con significaciones de p<0,001 en los 3 casos. El análisis de ANOVA GLM mostró diferencias entre perros para los 3 parámetros detectables por ambos sistemas y reflejó la ausencia de diferencias entre los puntos de control para cada animal, lo que añade solidez a la comparación. La sensibilidad del contraste fue de 4,9 latidos por minuto para la FC, 2,6 respiraciones por minuto para la FR y 0,16 ºC para la Tª (Tabla 3). En las Figuras 6 y 7 se muestran, respectivamente, los resultados del análisis de grado de acuerdo (gráficos de Bland-Altman) y del análisis de regresión (gráficos de dispersión con cálculo de ecuaciones y coeficientes de regresión).

<p>DE: desviación estándar. estándar; GLM: ANOVA de medidas repetidas mediante modelo lineal generalizado; CV%: coeficiente de variación; IC: intervalos de confianza</p>
Tabla 3

DE: desviación estándar. estándar; GLM: ANOVA de medidas repetidas mediante modelo lineal generalizado; CV%: coeficiente de variación; IC: intervalos de confianza

<p>Gráficos de límites de acuerdo (Bland-Altman) mostrando diferencias entre valores obtenidos mediante medición del ECG en papel y por el dispositivo inalámbrico para la frecuencia cardiaca (<strong>A</strong>), monitor anestésico y dispositivo inalámbrico para la frecuencia respiratoria (<strong>B</strong>) y termómetro rectal y dispositivo inalámbrico para la temperatura (<strong>C</strong>).</p>
Figura 6

Gráficos de límites de acuerdo (Bland-Altman) mostrando diferencias entre valores obtenidos mediante medición del ECG en papel y por el dispositivo inalámbrico para la frecuencia cardiaca (A), monitor anestésico y dispositivo inalámbrico para la frecuencia respiratoria (B) y termómetro rectal y dispositivo inalámbrico para la temperatura (C).

<p>Gráficos de dispersión mostrando los resultados del análisis de regresión entre el sistema inalámbrico y los métodos estándar, incluyendo la ecuación y el coeficiente de regresión, para distintos parámetros. (<strong>A</strong>) Frecuencia cardiaca. (<strong>B</strong>) Frecuencia respiratoria. (<strong>C</strong>) Temperatura.</p>
Figura 7

Gráficos de dispersión mostrando los resultados del análisis de regresión entre el sistema inalámbrico y los métodos estándar, incluyendo la ecuación y el coeficiente de regresión, para distintos parámetros. (A) Frecuencia cardiaca. (B) Frecuencia respiratoria. (C) Temperatura.

Discusión

El desarrollo de dispositivos inalámbricos que aporten información médica escenifica la sinergia entre el desarrollo tecnológico (tecnología digital y conectividad a corta y larga distancia) y el cuidado de la salud.[ den Uijl I, Gómez Álvarez CB, Bartram D, et al. External validation of a collar-mounted triaxial accelerometer for second-by-second monitoring of eight behavioural states in dogs. PLoS ONE 2017; 12(11): e0188481. [PubMed] , Veterinary Practice. How will artificial intelligence impact the veterinary profession? https://www.veterinary-practice.com/article/how-will-artificial-intelligence-impact-the-veterinary-profession. Último acceso: 16/08/2021. ] Ello ocurre en paralelo a los avances en dispositivos inteligentes que se trasladan a la vida diaria y que vienen transformando la sociedad hacia una cada vez mayor predisposición al uso de la información a distancia a través de aplicaciones móviles y/o portales web. La telesalud está llamada a ser una disciplina médica en claro auge y que requiere de esfuerzo tecnológico, pero también científico para responder apropiadamente a las preguntas sobre la verdadera validez y fiabilidad de aquellos dispositivos que pretendan utilizarse con fines médicos. Este estudio demuestra que un dispositivo inalámbrico desarrollado y comercializado para su uso médico veterinario aporta información útil y fiable con potencial para su uso en telemonitorización, teleavisos y teletriaje. 

El ECG representa una técnica no invasiva, sencilla y barata para obtener información precisa sobre la frecuencia cardiaca y evaluar trastornos del ritmo y la conducción intracardiaca, aportando información de utilidad pronóstica.[ Bonelli F, Vezzosi T, Meylan M, et al. Comparison of smartphone-based and standard base-apex electrocardiography in healthy dairy cows. J Vet Intern Med 2019 ; 33(2): 981-986. [PubMed] , Tilley LP, Smith Jr FWK. Electrocardiography. En: Tilley LP, Smith Jr FWK, Oyama M, Sleeper MM: Manual of canine and feline cardiology. Fifth edition. Saunders Elsevier. Missouri USA, 2008; pp 49-76. ] El sistema estándar de recogida de un ECG requiere un sistema de derivaciones ápex-base mediante el empleo de un electrocardiógrafo, electrodos y cables.[ Bonelli F, Vezzosi T, Meylan M, et al. Comparison of smartphone-based and standard base-apex electrocardiography in healthy dairy cows. J Vet Intern Med 2019 ; 33(2): 981-986. [PubMed] , Tilley LP, Smith Jr FWK. Electrocardiography. En: Tilley LP, Smith Jr FWK, Oyama M, Sleeper MM: Manual of canine and feline cardiology. Fifth edition. Saunders Elsevier. Missouri USA, 2008; pp 49-76. ] Este sistema requiere que el paciente se encuentre en un centro médico veterinario y tenga su movilidad restringida mientras se somete a la prueba. La monitorización Holter 24 h se ha empleado desde hace décadas utilizando el mismo sistema de electrodos ápex-base cuya información se recoge en dispositivos portátiles que el paciente porta de manera temporal mientras dura la monitorización.[ Sleepers MM. Special Diagnostic Techniques for Evaluation of Cardiac Disease. En: Tilley LP, Smith Jr FWK, Oyama M, Sleeper MM: Manual of canine and feline cardiology. Fifth edition. Saunders Elsevier. Missouri USA, 2016; pp 93-100. ] Estos dispositivos graban la información que posteriormente será descargada a un ordenador y analizada semiautomáticamente con ayuda de software especializados. Sin embargo, ni el ECG en reposo ni los monitores Holter están diseñados ni permiten una monitorización constante a tiempo real y a distancia. Estas funciones son soportadas por el dispositivo analizado en este estudio, el cual es también capaz de trasladar alertas a tiempo real cuando la frecuencia cardiaca sube o baja de ciertos límites, además de la grabación del registro para su análisis posterior. Carece, no obstante, de un software avanzado de análisis automático que aporte los datos que aporta un Holter para la caracterización de arritmias.

El dispositivo inalámbrico evaluado en este estudio mostró en la mayoría de los casos registros electrocardiográficos claramente legibles y de aspecto equivalente a una derivación II del ECG en papel con porcentajes de calidad de registro similares. Estos datos son análogos a estudios previos donde se han comparado trazados electrocardiográficos obtenidos con electrocardiógrafos convencionales de aquellos obtenidos mediante sistema bipolar con teléfonos móviles en humanos[ Lowres N, Krass I, Neubeck L, et al. Atrial fibrillation screening in pharmacies using an iPhone ECG: a qualitative review of implementation. Int J Clin Pharmacol 2015; 37: 1111-1120. [PubMed] ] y diversas especies animales.[ Bonelli F, Vezzosi T, Meylan M, et al. Comparison of smartphone-based and standard base-apex electrocardiography in healthy dairy cows. J Vet Intern Med 2019 ; 33(2): 981-986. [PubMed] , Vezzosi T, Buralli C, Marchesotti F, et al. Diagnostic accuracy of a smartphone electrocardiograph in dogs: comparison with standard 6-lead electrocardiography. Vet J 2016; 216: 33-37. [PubMed] , Vezzosi T, Sgorbini M, Bonelli F, et al. Evaluation of a smartphone electrocardiograph in healthy horses: comparison with standard base-apex electrocardiography. J Equine Vet Sci 2018; 67: 61-65. ] Los artefactos por interferencia eléctrica se registraron también con frecuencia similar. En el caso del dispositivo inalámbrico evaluado en este estudio los artefactos por problemas de contacto fueron relativamente comunes, lo que es razonable esperar de un dispositivo que está previsto que permanezca colocado durante mucho tiempo. En este sentido, es muy recomendable ser meticuloso en la depilación de la zona que debe cubrir el electrodo adhesivo y que este sea de buena calidad para asegurar una correcta adherencia y, por tanto, un buen contacto. Igualmente importante es la colocación del arnés de manera que no permita giros o pliegues que traccionen los electrodos y puedan contribuir a su despegue, máxime cuando el dispositivo se pretenda colocar en perros conscientes con movimiento libre.

Más allá de la visualización de las ondas electrocardiográficas y su relación entre ellas (lo que resulta básico y fundamental para establecer posibles alteraciones del ritmo), el ECG generado por el dispositivo móvil evaluado en este estudio ofrece desvíos significativos en las medidas cuantitativas de ondas e intervalos, tanto en duración (sobre todo de la onda P) como en voltaje (sobre todo la onda T). Este aspecto difiere de otros dispositivos, tales como smartphones, que han mostrado buena sensibilidad en diversas especies,[ Bonelli F, Vezzosi T, Meylan M, et al. Comparison of smartphone-based and standard base-apex electrocardiography in healthy dairy cows. J Vet Intern Med 2019 ; 33(2): 981-986. [PubMed] , Vezzosi T, Buralli C, Marchesotti F, et al. Diagnostic accuracy of a smartphone electrocardiograph in dogs: comparison with standard 6-lead electrocardiography. Vet J 2016; 216: 33-37. [PubMed] , Vezzosi T, Sgorbini M, Bonelli F, et al. Evaluation of a smartphone electrocardiograph in healthy horses: comparison with standard base-apex electrocardiography. J Equine Vet Sci 2018; 67: 61-65. ] si bien no previstos para la monitorización a distancia ni durante largos periodos. Ello implica que, aunque puede considerarse una guía precisa de los valores de frecuencia cardiaca y para identificar la relación entre ondas P y complejos QRS, la información sobre las medidas debe realizarse sobre un trazado obtenido con protocolo estandarizado para ECG en reposo.[ Tilley LP, Smith Jr FWK. Electrocardiography. En: Tilley LP, Smith Jr FWK, Oyama M, Sleeper MM: Manual of canine and feline cardiology. Fifth edition. Saunders Elsevier. Missouri USA, 2008; pp 49-76. ]

Este estudio se realizó específicamente en perros anestesiados, entendiendo que el movimiento libre característico de un animal consciente podría contribuir a generar fuentes de variación en los resultados. No obstante, deberían conducirse estudios futuros con perros conscientes para contrastar si la fiabilidad del dispositivo es análoga a la encontrada en este estudio. Estos estudios podrían combinarse con otras características que incluye el dispositivo y que no fueron utilizadas en este estudio por tratarse de animales esencialmente inmóviles. Podrían, por ejemplo, combinarse los resultados provenientes del sensor de posición y de ladrido, con objeto de establecer posibles patrones comportamentales y parámetros de frecuencia cardiaca, respiratoria y temperatura. Estos datos combinados podrían generar algoritmos con aplicación médica acerca de estados de salud/enfermedad concretos, como ya se ha probado previamente en estudios en perros con el uso de collares dotados de acelerómetros para clasificar el estado comportamental del animal que lo transporta.[ Hay SI, George DB, Moyes CL, Brownstein JS. Big data opportunities for global infectious disease surveillance. PLoS Med 2013; 10(4): e1001413. [PubMed] , den Uijl I, Gómez Álvarez CB, Bartram D, et al. External validation of a collar-mounted triaxial accelerometer for second-by-second monitoring of eight behavioural states in dogs. PLoS ONE 2017; 12(11): e0188481. [PubMed] , Gillain S, Boutaayamou M, Dardenne N, et al. Data set of healthy old people assessed for three walking conditions using accelerometric and opto-electronic methods. Aging Clin Exp Res 2017; 29(6): 1201-1209. [PubMed] ] La combinación con la información de la variabilidad de la frecuencia cardiaca ha demostrado previamente su utilidad para predecir ataques epilépticos en personas.[ Billeci L, Marino D, Insana L, Vatti G, Varanini M. Patient-specific seizure prediction based on heart rate variability and recurrence quantification analysis. PLoS One 2018 ;13(9): e0204339. [PubMed] ] El uso combinado con sistemas GPS (global positioning system) podría también ser de utilidad, como se ha demostrado en estudios previos en perros, para identificar y cuantificar el grado de afectación por osteoartritis de cadera.[ Bruno EA, Guthrie JW, Ellwood SA, Mellanby RJ, Clements DN. Global Positioning System Derived Performance Measures Are Responsive Indicators of Physical Activity, Disease and the Success of Clinical Treatments in Domestic Dogs. PLOS ONE 2015; 10(2): e0117094. [PubMed] ] Desde la perspectiva emocional, pero también comercial, este tipo de dispositivos ofrecen la posibilidad de dar a los propietarios de los animales monitorizados la alternativa de acceder online a los datos de monitorización de su mascota, lo que les supone en ciertos casos un plus de tranquilidad y satisfacción con la atención veterinaria prestada. No en vano, para muchos expertos en inteligencia artificial y telesalud, su incorporación a la práctica médica veterinaria será prácticamente imperativa en los próximos años.[ Veterinary Practice. How will artificial intelligence impact the veterinary profession? https://www.veterinary-practice.com/article/how-will-artificial-intelligence-impact-the-veterinary-profession. Último acceso: 16/08/2021. ] Esto contrasta con los hallazgos de estudios recientes que indican que el conocimiento general de los veterinarios acerca del concepto global de telesalud y los componentes necesarios para su desarrollo son claramente insuficientes en la actualidad.[ Watson, K., Wells, J., Sharma, M. et al. A survey of knowledge and use of telehealth among veterinarians. BMC Vet Res 2019;15: 474. [PubMed] ]

En conclusión, el dispositivo inalámbrico multiparamétrico evaluado en este estudio ofrece una alta fiabilidad en la obtención de gráficas electrocardiográficas para una primera evaluación del ritmo, cálculo de frecuencia cardiaca, frecuencia respiratoria y temperatura en perros anestesiados. Esta información es accesible de manera remota siempre que se disponga de una conexión a internet y puede almacenarse para su evaluación diferida. La posibilidad adicional de programar límites en estos parámetros que generen avisos automatizados confiere al dispositivo un alto potencial para su uso en telesalud, en sus variantes de telemonitorización, teleavisos y teletriaje. Esto incluye el seguimiento clínico de pacientes hospitalizados, donde un aumento en la cantidad y disponibilidad de datos sobre la evolución clínica puede contribuir a intervenciones más rápidas y precisas. La posibilidad de estudio de grandes cantidades de estos datos en perros con diferentes enfermedades le confiere también potencial para la generación de algoritmos que contribuyan al diagnóstico precoz de enfermedades, estadificación de riesgos y seguimiento/monitorización.

Agradecimientos

Los autores agradecen la realización de este estudio a los propietarios de los animales que libremente accedieron a participar, así como a los compañeros del Hospital Veterinario que amablemente prestaron su colaboración de diversas maneras.

 

Fuente de financiación: los autores reconocen el apoyo técnico y financiero otorgado por la empresa Dindog Tech, fabricante del equipo de monitorización multiparamétrica inalámbrica Dinbeat UNO®.

Conflicto de intereses: los autores declaran no tener ningún conflicto de interés potencial con respecto a la investigación, auditoría y/o publicación de este artículo.

Bibliografía

  1. [1] American Journal of Veterinary Medical Association. AVMA guidelines for the use of telehealth in veterinary practice: Implementing connected care. American Veterinary Medical Association, Schaumburg, IL. 2021. ISBN [978-1-882691-55-5]. https://www.avma.org/sites/default/files/2021-01/AVMA-Veterinary-Telehealth-Guidelines.pdf. Último acceso: 16/08/2021.
  2. [2] Hay SI, George DB, Moyes CL, Brownstein JS. Big data opportunities for global infectious disease surveillance. PLoS Med 2013; 10(4): e1001413. [PubMed]
  3. [3] den Uijl I, Gómez Álvarez CB, Bartram D, et al. External validation of a collar-mounted triaxial accelerometer for second-by-second monitoring of eight behavioural states in dogs. PLoS ONE 2017; 12(11): e0188481. [PubMed]
  4. [4] Gillain S, Boutaayamou M, Dardenne N, et al. Data set of healthy old people assessed for three walking conditions using accelerometric and opto-electronic methods. Aging Clin Exp Res 2017; 29(6): 1201-1209. [PubMed]
  5. [5] Watson, K., Wells, J., Sharma, M. et al. A survey of knowledge and use of telehealth among veterinarians. BMC Vet Res 2019;15: 474. [PubMed]
  6. [6] Hess L. Telemedicine: The Future of Veterinary Practice. J Avian Med Surg 2017; 31(2): 165-171. [PubMed]
  7. [7] DuBois C, Zakrajsek E, Haley DB, Merkies K. Validation of triaxial accelerometers to measure the lying behaviour of adult domestic horses. Animal 2015; 9(1): 110-114. [PubMed]
  8. [8] Keegan KG, Wilson DA, Kramer J, et al. Comparison of a body-mounted inertial sensor system–based method with subjective evaluation for detection of lameness in horses. Am J Vet Res 2012; 74(1): 17-24. [PubMed]
  9. [9] Hansen BD, Lascelles BDX, Keene BW, Adams AK, Thomson AE. Evaluation of an accelerometer for at-home monitoring of spontaneous activity in dogs. Am J Vet Res 2007; 68(5): 468-475. [PubMed]
  10. [10] Bruno EA, Guthrie JW, Ellwood SA, Mellanby RJ, Clements DN. Global Positioning System Derived Performance Measures Are Responsive Indicators of Physical Activity, Disease and the Success of Clinical Treatments in Domestic Dogs. PLOS ONE 2015; 10(2): e0117094. [PubMed]
  11. [11] Kraus MS, Gelzer AR, Rishniw M. Detection of heart rate and rhythm with a smartphone-based electrocardiograph versus a reference standard electrocardiograph in dogs and cats. J Am Vet Med Assoc 2016; 249(2): 189-194. [PubMed]
  12. [12] Bonelli F, Vezzosi T, Meylan M, et al. Comparison of smartphone-based and standard base-apex electrocardiography in healthy dairy cows. J Vet Intern Med 2019 ; 33(2): 981-986. [PubMed]
  13. [13] Veterinary Practice. How will artificial intelligence impact the veterinary profession? https://www.veterinary-practice.com/article/how-will-artificial-intelligence-impact-the-veterinary-profession. Último acceso: 16/08/2021.
  14. [14] Tilley LP, Smith Jr FWK. Electrocardiography. En: Tilley LP, Smith Jr FWK, Oyama M, Sleeper MM: Manual of canine and feline cardiology. Fifth edition. Saunders Elsevier. Missouri USA, 2008; pp 49-76.
  15. [15] Sleepers MM. Special Diagnostic Techniques for Evaluation of Cardiac Disease. En: Tilley LP, Smith Jr FWK, Oyama M, Sleeper MM: Manual of canine and feline cardiology. Fifth edition. Saunders Elsevier. Missouri USA, 2016; pp 93-100.
  16. [16] Lowres N, Krass I, Neubeck L, et al. Atrial fibrillation screening in pharmacies using an iPhone ECG: a qualitative review of implementation. Int J Clin Pharmacol 2015; 37: 1111-1120. [PubMed]
  17. [17] Vezzosi T, Buralli C, Marchesotti F, et al. Diagnostic accuracy of a smartphone electrocardiograph in dogs: comparison with standard 6-lead electrocardiography. Vet J 2016; 216: 33-37. [PubMed]
  18. [18] Vezzosi T, Sgorbini M, Bonelli F, et al. Evaluation of a smartphone electrocardiograph in healthy horses: comparison with standard base-apex electrocardiography. J Equine Vet Sci 2018; 67: 61-65.
  19. [19] Billeci L, Marino D, Insana L, Vatti G, Varanini M. Patient-specific seizure prediction based on heart rate variability and recurrence quantification analysis. PLoS One 2018 ;13(9): e0204339. [PubMed]

Artículos recomendados

Estas recomendaciones se ofrecen de forma automática.

  • Utilidad del hemocultivo en el diagnóstico y el tratamiento antimicrobiano de la septicemia en quelonios
    O. Miñana-Morant, A. Moya-Vázquez
    Clin Vet Peq Anim Vol. 45 - Nº 4 · DIC 2025 · Artículo original referido a múltiples casos clínicos
  • Disgenesia ocular del merle

    M. Castro-Reyes, T. Zapata-Debón, E. Fenollosa-Romero
    Clin Vet Peq Anim Vol. 44 - Nº 4 · DIC 2024 · Artículo original referido a múltiples casos clínicos
  • Estudio retrospectivo (2018-2022) de la prevalencia de Staphylococcus pseudintermedius resistentes a meticilina y multirresistentes, implicados en piodermas caninas en un centro dermatológico en Madrid (España)

    C. Yotti-Álvarez, J. Pérez-Gaviro, M. Pérez-Aranda-Redondo
    Clin Vet Peq Anim Vol. 44 - Nº 3 · SEP 2024 · Artículo original referido a múltiples casos clínicos
  • Inicio
  • Introducción
  • Materiales y métodos
  • Resultados
  • Discusión
  • Agradecimientos
  • Bibliografía
Artículo anterior Índice de la revista Artículo siguiente
ANUNCIO
Próximos cursos ATVs Elearning
Índice
Inicio Introducción Materiales y métodos Resultados Discusión Agradecimientos Bibliografía
Virbac - Movoflex
ANUNCIO

¿No eres socio de AVEPA y quieres recibir comunicación de las nuevas ediciones en tu correo?

Suscríbete

Suscríbete y te avisaremos cuando publiquemos un nuevo número

Suscribirme

Enlaces rápidos

  • Inicio
  • Último número
  • Archivo
  • Artículos

Información

  • Comité editorial
  • Política de cookies
  • Política de privacidad
  • Términos y condiciones

Contacto

  • info@imaginice.com
  • Envíanos tu artículo
© 2026 Ice Salud Vet SL. Todos los derechos reservados.

Usamos cookies para mejorar tu experiencia. Selecciona cuáles aceptas: